不对称催化已成为现代有机合成中构建手性分子的关键工具。传统不对称催化主要依赖潜手性官能团(如烯烃、羰基化合物)的转化,但这类策略在直接利用外消旋烷基卤化物方面存在局限性。烷基卤化物作为廉价易得的原料,其直接对映收敛转化可避免手性拆分步骤,提高合成效率。目前,这类反应主要依赖过渡金属催化剂(如铁、钴、镍、铜)来实现,然而,这些催化剂存在一定局限性,如贵金属成本高、配体设计复杂等。
近期,南京大学刘超课题组报道了锌催化α-苯甲酰烷基溴化物的对映收敛硼化反应。该反应利用廉价锌/手性二胺作为催化剂,联硼酸频那醇酯/异丙基氯化镁作为硼试剂,首次实现了锌催化的对映收敛转化,以较好的对映选择性以及收率得到一系列手性的烷基硼酸酯化合物。

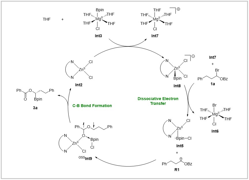
基于机理实验以及DFT计算,作者提出了可能的反应机理。首先,Int3的Bpin基团转移至Zn(II)复合物Int2,生成THF稳定的Mg(II)阳离子Int7和阴离子复合物Int8。接着从Int8到底物1a发生解离电子转移,产生自由基R1、复合物Int5和溴负离子;随后溴负离子与Int7结合生成Int6。之后,R1的羰基部分与Int5的锌原子配位形成开壳层单重态Zn(II)中间体Int9,紧接着C-B键形成,释放产物并再生Int2完成整个催化循环。

Reference: Liu, H.; Zhang, X.; Chen, D.; Su, Y.; Zhang, P.; Qi, X.; Liu C. Enantioconvergent Borylation of α-Benzoyl Alkyl Bromides by Zinc Catalysis. Angew. Chem. Int. Ed. 2025, 64, e202514261. (推荐人:陈浩东,检查人:展昕宇)